Nhằm hỗ trợ cho hành trình ôn tập toán 9 và ôn thi vào 10 của học sinh, TAK12 đã tổng hợp các kiến thức phần hệ thức lượng trong tam giác lớp 9. Bên cạnh những lý thuyết về hệ thức lượng trong tam giác, bài viết còn cung cấp các bài tập áp dụng công thức hệ thức lượng lớp 9. Cùng theo dõi nhé!
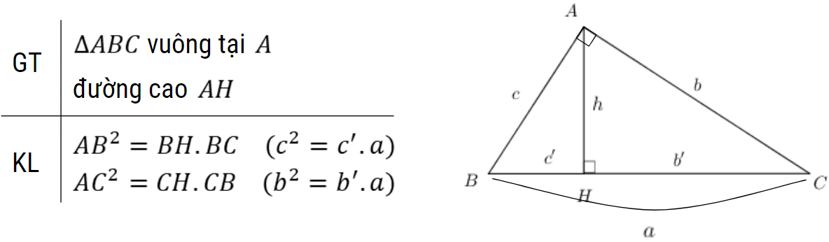
Định lý 1: Trong một tam giác vuông, bình phương mỗi cạnh góc vuông bằng tích của cạnh huyền và hình chiếu của cạnh góc vuông đó trên cạnh huyền.

Bài tập minh họa
Cho hình vẽ dưới đây. Tính độ dài cạnh AB, AC.

Hướng dẫn giải

[%Included.Dangky%]
[%Included.Lớp 9%]
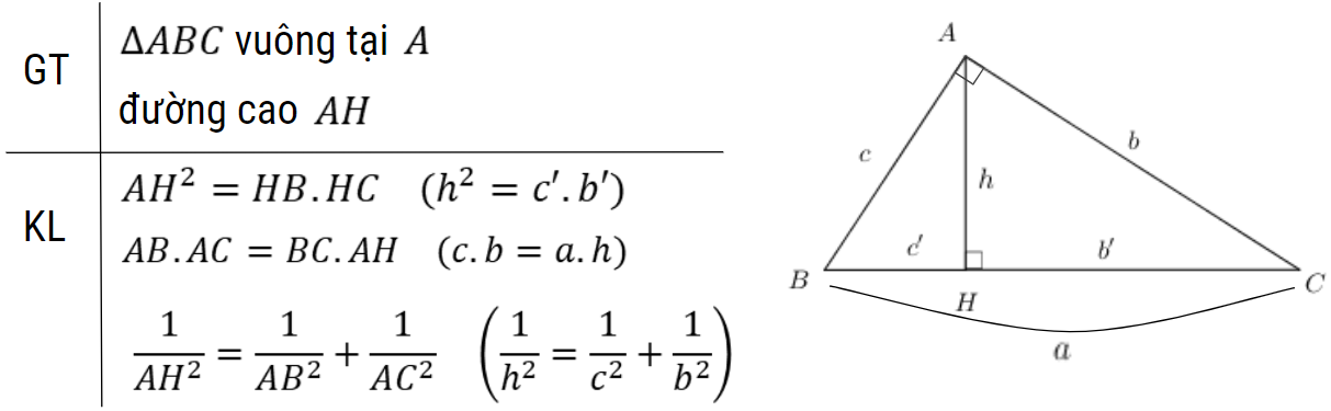
Định lý 2: Trong một tam giác vuông, bình phương đường cao ứng với cạnh huyền bằng tích hai hình chiếu của hai cạnh góc vuông trên cạnh huyền.
Định lý 3: Trong một tam giác vuông, tích hai cạnh góc vuông bằng tích cạnh huyền và đường cao tương ứng.
Định lý 4: Trong một tam giác vuông, nghịch đảo của bình phương đường cao ứng với cạnh huyền bằng tổng các nghịch đảo bình phương hai cạnh góc vuông.

Bài tập minh họa
Cho hình vẽ dưới đây. Tính độ dài cạnh AH theo 3 cách.

Hướng dẫn giải

Bài tập minh họa
Ví dụ 1: Cho ∆ABC vuông tại A, biết
Tính độ dài cạnh AC.
Hướng dẫn giải

Ví dụ 2: Cho ∆ABC vuông tại A, biết
Tính độ dài cạnh AB, AC.
Hướng dẫn giải

👉 Gợi ý các phần mềm học tập và ôn thi hiệu quả cho học sinh lớp 9
Giải tam giác vuông là tìm tất cả các yếu tố còn lại của tam giác vuông khi biết trước hai yếu tố (trong đó có ít nhất một yếu tố về cạnh và không kể góc vuông).
Chú ý: Khi giải tam giác vuông, trong nhiều trường hợp, nếu đã biết hai cạnh mà số đo không đẹp ta nên tìm một góc nhọn trước, sau đó dùng các hệ thức giữa cạnh và góc để tính cạnh thứ ba.
Cách sử dụng máy tính để tìm góc khi biết sin (hoặc cosin hoặc tang hoặc côtang)
Nhấn liên tiếp các phím:
Chú ý: Nếu phải tìm góc nhọn α khi biết cot α, ta chuyển thành bài toán tìm góc nhọn α khi biết tan α vì 
Bài tập minh họa
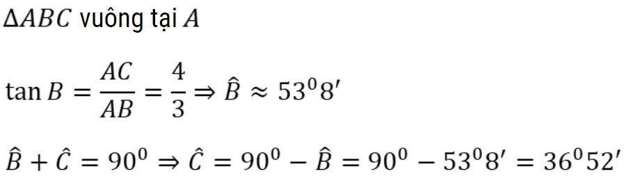
Ví dụ 1: Cho ∆ABC vuông tại A, biết
Giải tam giác vuông ABC.
Hướng dẫn giải

Ví dụ 2: Cho ∆ABC vuông tại A, biết AB = 3cm, AC = 4cm. Giải tam giác vuông ABC.
Hướng dẫn giải


Bài tập hệ thức về cạnh và góc trong tam giác vuông
Nhằm giúp học sinh ôn tập công thức hệ thức lượng lớp 9, TAK12 đã biên soạn phần Học ôn Hệ thức lượng trong tam giác vuông trong chương trình Học tốt toán lớp 9 gồm các slide bài giảng tổng hợp kiến thức phần nội dung này, đi kèm với đó là những bài tập thực hành có lời giải chi tiết.
Ngoài ra, học sinh có thể thực hành thêm các bài tập hệ thức lượng trong tam giác lớp 9 tại phần Luyện chủ điểm. Đặc biệt, khi mua gói PRO Học tốt toán lớp 9 để học và ôn luyện các chủ điểm toán học, học sinh được khai thác không giới hạn các tính năng sau:
Trên đây là tổng hợp các kiến thức phần hệ thức lượng trong tam giác lớp 9 cùng bộ bài tập hỗ trợ ôn luyện dành cho học sinh. Hy vọng các em học sinh đã có thêm những thông tin bổ ích để học tốt toán 9 và ôn thi toán vào lớp 10.
[%Included.TAK12%]