Lớp 5 là một trong những cột mốc quan trọng đối với mỗi học sinh, bởi đây là giai đoạn các em chuẩn bị bước vào kỳ thi chuyển cấp lên lớp 6. Nhằm giúp các em học sinh hệ thống kiến thức Toán lớp 5 và tổng ôn toán vào lớp 6, bài viết sau đây sẽ tổng hợp công thức Toán lớp 5 một cách bài bản nhất. Cùng theo dõi nhé!
Để giúp các em học sinh hệ thống các kiến thức trong chương trình toán lớp 5 và làm bài tập, TAK12 đã tổng hợp các công thức toán lớp 5 trong nội dung dưới đây. Cụ thể:
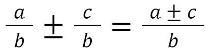
Phép cộng, phép trừ hai phân số cùng mẫu số
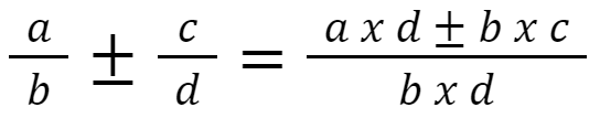
Phép cộng, phép trừ hai phân số khác mẫu số
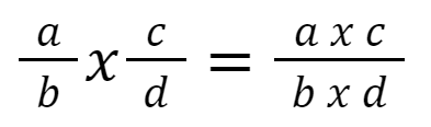
Phép nhân hai phân số
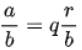
Phép chia hai phân số
[%Included.Lớp 5%]
Chuyển hỗn số thành phân số
Phương pháp:
Tổng quan:
Cách chuyển phân số thành hỗn số
Phương pháp:
Tổng quan:
Ở các phần bài tập toán lớp 5 sẽ có hệ thống công thức như sau:
Toán tìm tỉ số phần trăm
Dạng 1: Tìm tỉ số % của a và b: a/b * 100.
Ví dụ: Một lớp học có 28 em, trong đó có 7 em học giỏi toán. Hãy tìm tỉ số phần trăm học sinh giỏi toán so với sĩ số của lớp?
Hướng dẫn giải
Tỉ số phần trăm học sinh giỏi toán so với học sinh cả lớp là:
7 : 28 = 0,25 = 25%
Đáp số: 25%
Dạng 2: Tìm x% của A: A/100 * x.
Ví dụ: Khi trả bài kiểm tra toán của lớp 5A, cô giáo nói: "Số điểm 10 chiếm 25%, số điểm 9 ít hơn 5%". Biết rằng có tất cả 18 điểm 9 và 10. Hỏi lớp 5A có bao nhiêu bạn?
Hướng dẫn giải
Tỉ số phần trăm số bạn điểm 9 là:
25% - 5% = 20%
Tỉ số phần trăm học sinh đạt điểm 9 và 10 so với số học sinh cả lớp là:
25% + 20% = 45%
1% số học sinh của lớp là:
18 : 45% = 0,4 (bạn)
Sĩ số lớp là:
0,4 × 100 = 40 (bạn)
Đáp số: 40 bạn
Dạng 3: Tìm 100%, biết x% = a: a/x * 100.
Ví dụ: Số học sinh giỏi của một trường tiểu học là 64 em chiếm 12,8% số học sinh toàn trường. Hỏi trường đó có bao nhiêu học sinh?
Hướng dẫn giải
Trường đó có số học sinh là:
64 : 12,8 × 100 = 500 (học sinh)
Đáp số: 500 học sinh
Toán trung bình cộng
Để tìm số trung bình cộng của 2 hay nhiều số ta sẽ lấy tổng các số đó chia cho số hạng.
Công thức: (a + b + c +…)/n.
Toán tổng – hiệu
Số bé = (Tổng – Hiệu)/2
Số lớn = (Tổng + Hiệu)/2
Hiệu – Tỉ, Tổng – Tỉ
Tìm Hiệu số phần bằng nhau:
Số bé = (Hiệu/Hiệu số phần) * phần của số bé
Số lớn = (Hiệu/Hiệu số phần) * phần của số lớn
Tìm Tổng số phần bằng nhau:
Số bé = (Tổng/Tổng số phần) * phần của số bé
Số lớn = (Tổng/Tổng số phần) * phần của số lớn
Liên quan đến công thức hiệu - tỉ, tổng - tỉ; TAK12 đã có bài viết hướng dẫn làm tốt dạng toán tìm hai số khi biết tổng và tỉ, tìm hai số khi biết hiệu và tỉ để học sinh lớp 5 thành thạo hơn ở dạng bài quen thuộc này.
👉 Hướng dẫn làm tốt dạng bài tìm hai số khi biết tổng và tỉ / hiệu và tỉ
Lớn ra nhỏ: nhân với mối quan hệ.
Ví dụ: Để đổi đơn vị đo độ dài lớn sang đơn vị đo độ dài nhỏ liền kề, ta sẽ nhân với 10.
Nhỏ ra lớn: chia cho mối quan hệ.
Ví dụ: Để đổi đơn vị đo khối lượng nhỏ sang đơn vị đo khối lượng lớn liền kề, ta sẽ chia cho 10.
Công thức toán chuyển động đều sẽ tính vận tốc, quãng đường, thời gian. Cụ thể:
- V (vận tốc) = S : t (đơn vị km/h).
- S (quãng đường) = V x t (đơn vị km).
- t (thời gian) = S : V (đơn vị giờ).
- Công thức ngược chiều: S = (v1 + v2) x t gặp.
- Công thức cùng chiều: S = (v1 – v2) x t gặp.
Chú ý: Cách quy đổi phút về giờ là lấy số phút chia cho 60. Theo đó:
[%Included.Dangky%]
Hình chữ nhật
P = (a + b) x 2
S = a x b
Trong đó:
Hình bình hành
Hình vuông
P = a x 4
S = a x a
Trong đó:
Hình thoi
Hình hộp chữ nhật

Sxq = (a + b) x 2 x h
Stp = (a x b) x 2 + Sxq
V = a x b x h
Trong đó:
Hình tam giác

P = a + b + c
S = (a x h) : 2
h = (S x 2) : a
a = (S x 2) : h
Trong đó:
Hình thang
Hình tròn

R = d : 2 hoặc R = C : 3,14 : 2
d = R x 2 hoặc d = C : 3,14
S = R x R x 3,14
Trong đó:
Hình lập phương

Sxq = (a x a) x 4
Stp = (a x a ) x 6
V = a x a x a
Trong đó:
Bên cạnh các công thức toán lớp 5, TAK12 cũng đã tổng hợp thêm các bảng đơn vị đo trong chương trình Toán lớp 5 để học sinh chủ động nắm vững kiến thức. Cụ thể:
Trong đó: Hai đơn vị đo độ dài liền nhau:
Trong đó: Hai đơn vị đo độ dài liền nhau:
Trong đó:
| Bảng đơn vị đo thời gian | |
|
1 thế kỉ = 100 năm 1 năm = 12 tháng 1 năm = 365 ngày 1 năm nhuận = 366 ngày |
1 tuần lễ = 7 ngày 1 ngày = 24 giờ 1 giờ = 60 phút 1 phút = 60 giây |
Lưu ý:
👉 Xem thêm Ôn tập bảng đơn vị đo thời gian lớp 5 (kiến thức cần nhớ và bài tập vận dụng)
Vừa rồi là tổng hợp các công thức Toán lớp 5 đầy đủ nhất dành cho các bạn học sinh. Bên cạnh việc hệ thống hóa các kiến thức toán, người học cũng cần rèn luyện thêm các bài tập, luyện các chủ điểm Toán học hàng ngày để củng cố và cải thiện kỹ năng toán học của mình.
[%Included.TAK12%]