Căn bậc 2 và căn thức bậc 2 là một trong những chủ điểm kiến thức trọng điểm trong chương trình toán lớp 9. Hiểu rõ về căn bậc hai giúp học sinh có nền tảng kiến thức toán tốt để thực hiện đa số các bài tập, cũng như để chuẩn bị ôn thi chuyển cấp vào lớp 10. Bài viết sau đây TAK12 sẽ chia sẻ lý thuyết, ví dụ minh họa và các dạng bài tập căn bậc 2 lớp 9. Cùng theo dõi nhé!
Chú ý: Với số a ≥ 0, ta có:
So sánh các căn bậc hai số học: Với hai số a và b không âm, ta có:

[%Included.Dangky%]
[%Included.Lớp 9%]
Ví dụ 1: Tìm căn bậc hai số học của các số sau rồi suy ra căn bậc hai của chúng.
a) 1,21
b) -5
Hướng dẫn giải

Ví dụ 2: Tìm số x không âm, biết
.
Hướng dẫn giải

Ví dụ 3: Hãy chỉ ra căn thức bậc hai của 4x + 6 và căn thức bậc hai đó xác định khi nào?
Hướng dẫn giải

👉 Bài học và bài tập vận dụng: Căn bậc hai và căn thức bậc 2
Phương pháp giải: Dựa vào định nghĩa căn bậc hai số học của một số không âm:
Bài tập minh họa
Tìm căn bậc hai số học rồi tìm căn bậc hai của:
a) 121
b) 
Hướng dẫn giải

Phương pháp giải: Dựa vào tính chất:
Bài tập minh họa
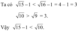
Không dùng máy tính hoặc bảng số , hãy so sánh 
Hướng dẫn giải

Phương pháp giải: Với a ≥ 0:
Bài tập minh họa
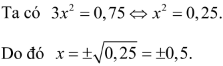
Giải phương trình: 3x2 = 0,75
Hướng dẫn giải

Phương pháp giải:
Bài tập minh họa
Tìm x để căn thức
có nghĩa
Hướng dẫn giải

Phương pháp giải: Vận dụng hằng đẳng thức:
Bài tập minh họa
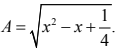
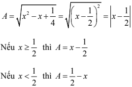
Rút gọn biểu thức 
Hướng dẫn giải

Để đồng hành ôn tập các bài toán căn bậc 2 cùng học sinh, TAK12 đã biên soạn phần học ôn căn bậc 2 gồm slide bài giảng tổng hợp kiến thức phần nội dung này, đi kèm với đó là 10 bài tập thực hành có lời giải chi tiết.
Ngoài ra, học sinh có thể thực hành thêm các bài tập căn bậc 2 tại phần Luyện chủ điểm. Đặc biệt, khi mua gói PRO tổng ôn toán vào lớp 10 để học và ôn luyện các chủ điểm toán học, học sinh được khai thác không giới hạn các tính năng sau:
Nội dung vừa rồi đã chia sẻ lý thuyết căn bậc 2 lớp 9 chi tiết và các bài tập vận dụng để học sinh thực hành. Mong rằng qua những thông tin TAK12 vừa chia sẻ trên, học sinh đã có những thông tin hữu ích trong quá trình học toán 9 và ôn tập toán vào 10.
👉 Gợi ý các phần mềm học tập và ôn thi hiệu quả cho học sinh lớp 9
[%Included.TAK12%]