Hiện nay, không ít các em học sinh đang gặp khó khăn khi giải các bài tập tính giá trị biểu thức trong chương trình toán lớp 5. Nhằm mục đích hỗ trợ học sinh trong việc hệ thống kiến thức và làm quen với các dạng bài toán này, TAK12 đã biên soạn các bài tập tính giá trị biểu thức lớp 5 có đáp án chi tiết trong phần nội dung dưới đây. Cùng theo dõi nhé!
Quy tắc 1: Biểu thức không có dấu ngoặc đơn chỉ có phép cộng và phép trừ (hoặc chỉ có phép nhân và phép chia) thì ta thực hiện các phép tính theo thứ tự từ trái sang phải.
Ví dụ 1: Tính 542 + 123 - 79 = ?
Hướng dẫn giải
542 + 123 - 79
= 665 - 79
= 586
Ví dụ 2: Tính 482 x 2 : 4 = ?
Hướng dẫn giải
482 x 2 : 4
= 964 : 4
= 241
Quy tắc 2: Biểu thức không có dấu ngoặc đơn, có các phép tính cộng, trừ, nhân, chia thì ta thực hiện các phép tính nhân, chia trước rồi thực hiện các phép tính cộng trừ sau.
Ví dụ:
Tính 3,48 : 0,58 x 4,5 - 13,6
Hướng dẫn giải
3,48 : 0,58 x 4,5 - 13,6
= (3,48 : 0,58) x 4,5 - 13,6
= 6 x 4,5 - 13,6
= 27 - 13,6
= 13,4
Quy tắc 3: Biểu thức có dấu ngoặc đơn thì ta thực hiện các phép tính trong ngoặc đơn trước, các phép tính ngoài dấu ngoặc đơn sau.
Ví dụ:
Tính: (0,25 x 36 + 0,1 x 110) x (150 x 0,2 - 96:4)
Hướng dẫn giải
(0,25 x 36 + 0,1 x 110) x (150 x 0,2 - 96 : 4)
= (9 + 11) x (30 - 24)
= 20 x 6
= 120
[%Included.Dangky.hoctot.hd%]
[%Included.Lớp 5%]
Bài 1: Tính giá trị của biểu thức: 16 + 4748 + 142 - 183
Hướng dẫn giải
16 + 4748 + 142 - 183
= 4764 + 142 - 183
= 4906 - 183
= 4723
Bài 2: Tính giá trị của biểu thức: 479348 + 123 - 19 x 93
Hướng dẫn giải
479348 + 123 - 19 x 93
= 479348 + 123 - 1767
= 479471 - 1767
= 477704
[%Included.HoctotToan.Lop5%]
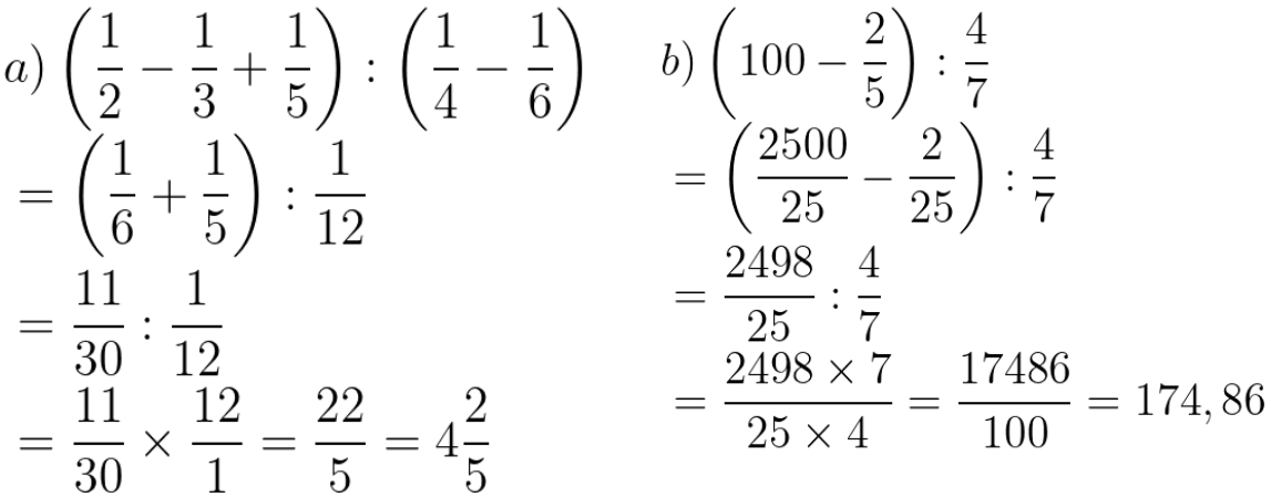
Bài 1: Tính 3,48 : 0,58 x 4,5 - 13,6
Hướng dẫn giải
3,48 : 0,58 x 4,5 - 13,6
= (3,48 : 0,58) x 4,5 - 13,6
= 6 x 4,5 - 13,6
= 27 - 13,6 = 13,4
Bài 2: Tính (48 x 0,75 - 240 : 10) - (16 x 0,5 - 16 : 4)
Hướng dẫn giải
(48 x 0,75 - 240 : 10) - (16 x 0,5 - 16 : 4)
= (36 - 24) - (8 - 4)
= 12 - 4 = 8
Bài 1: Thực hiện phép tính (theo cách hợp lý nhất)
Hướng dẫn giải
Bài 2: Tính
Hướng dẫn giải
Bài 3: Tính giá trị biểu thức
Hướng dẫn giải

Để học sinh có thể luyện tập thêm với các bài tập tính giá trị biểu thức lớp 5, đội ngũ giáo viên TAK12 đã biên soạn và gửi đến các em phần bài tập gồm những câu hỏi liên quan đến chủ đề này.
Ôn tập các phép tính với số tự nhiên
Ôn tập các phép tính với phân số
Các phép tính với số thập phân
Bên cạnh các bài tập tính giá trị biểu thức lớp 5, học sinh có thể rèn luyện thêm các bài tập tính toán khác như Tính nhanh: Nhóm các số hạng có tổng (hoặc hiệu) là số tròn chục/trăm, Tính nhanh: Vận dụng tính chất phép nhân,... trên TAK12 để tăng khả năng tư duy và thành tạo với dạng toán này. Đặc biệt, khi mua gói PRO toán lớp 5 để học và ôn luyện toán lớp 5, học sinh được khai thác không giới hạn các tính năng sau:
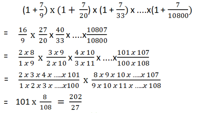
Bài 1:
a) Tính nhanh: 
b) Cho dãy tính: 492 : 4 x 123 x 2 + 13 : 3. Hãy thêm dấu ngoặc đơn vào dãy tính đó sao cho kết quả là số tự nhiên nhỏ nhất?
(Đề Vòng 1 - PGD Quảng Trạch, Quảng Bình năm học 1998 - 1999)
Hướng dẫn giải
a) Tính nhanh:

b) Cho dãy tính: 492 : 4 x 123 x 2 + 13 : 3
Vậy để có kết quả nhỏ nhất ta phải dùng phép chia, ta có:
492 (4 x 123) x (2 + 13) : 3
= 492 : 492 x 15 : 3
= 1 x 5 = 5
Bài 2: Viết các tổng sau thành tích của hai thừa số:
a) 242 + 286 + 66
b) 6767 + 5555 + 7878
(Đề Vòng 2 - PGD Quảng Trạch, Quảng Bình năm học 1998 - 1999)
Hướng dẫn giải
Viết các tổng sau thành tích của hai thừa số:
a) 242 + 286 + 66
= 11 x 22 + 11 x 26 + 11 x 6
= 11 x (22 + 26 + 6)
= 11 x 54
b) 6767 + 5555 + 7878
= 67 x 101 + 55 x 101 + 78 x 101
= 101 x (67 + 55 + 78)
= 101 x 200
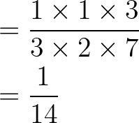
Bài 3: Tính nhanh:
a) 50 x 24,5 + 49 x 24,5 + 24,5
b) 
(Đề SGD Quảng Bình năm học 1998 - 1999)
Hướng dẫn giải
a) 50 x 24,5 + 49 x 24,5 + 24,5
= 24,5 x ( 50 + 49 + 1)
= 24,5 x 100 = 2450
b) 

Bài 4: Cho biểu thức: A = (60 x 2 + 120 ) : 4; B = (30 x 4 + 120 ) : 8
Không tính giá trị nhưng giá trị của biểu thức nào lớn hơn, vì sao?
(Đề PGD Quảng Trạch,Quảng Bình năm học 1999 - 2000)
Hướng dẫn giải
Cho biểu thức:
A = ( 60 x 2 + 120 ) : 4
B = ( 30 x 4 + 120 ) : 8
Vì: 60 x 2 = 30 x 4 nên số bị chia của hai biểu thức bằng nhau; số chia 4 < 8 do đó A > B.
Bài 5: Tính giá trị biểu thức:
a) Bằng 2 cách: ( 27,8 + 16,4 ) x 5
b) Bằng cách nhanh nhất: (792,81 x 0,25 + 792,81 x 0,75) x (11 x 9 – 900 x 0,1- 9)
(Đề SGD Quảng Bình năm học 1999 - 2000)
Hướng dẫn giải
a) Tính giá trị biểu thức:
Cách 1: (27,8 + 16,4 ) x 5
= 44,2 x 5
= 221
= 221
Cách 2: (27,8 + 16,4 ) x 5
= 27,8 x 5 + 16,4 x 5
= 139 + 82
= 221
b) Bằng cách nhanh nhất:
(792,81 x 0,25 + 792,81 x 0,75) x (11 x 9 – 900 x 0,1- 9)
= 792,81 x ( 0,25 + 0,75) x ( 99 – 90 - 9)
= 792,81 x 1 x 0 = 0
Bài 6:
a) Tính giá trị biểu thức: 0,86 x 4,21 + ( 5,79 : 10 ) x 0,86 – 3,8
b) Tính nhanh: (156,2 + 3,8 – 17,5 + 252,5 - 197) x ( 0,2 – 2 : 10) x 2001
(Đề PGD Quảng Trạch, Quảng Bình năm học 2000 - 2001)
Hướng dẫn giải
a) Tính giá trị biểu thức:
0,86 x 4,21 + (57,9 : 10 ) x 0,86 – 3,8
= 0,86 x 4,21 + 5,79 x 0,86 – 3,8
= 0,86 x (4,21 + 5,79) – 3,8
= 0,86 x 10 – 3,8
= 8,6 – 3,8 = 4,8
b) Tính nhanh:
(156,2 + 3,8 – 17,5 + 252,5 - 197) x (0,2 – 2 : 10) x 2001
= (156,2 + 3,8 – 17,5 + 252,5 - 197) x (0,2 – 0,2) x 2001
= (156,2 + 3,8 – 17,5 + 252,5 - 197) x 0 x 2001
= 0 (Tích có 3 thừa số có một thừa số bằng 0 nên tích bằng 0)
Bài 7:
Câu 1: Tính kết quả rồi rút gọn.

Câu 2: Tính giá trị biểu thức.

(Đề SGD Quảng Bình năm học 2001 - 2002)
Hướng dẫn giải
Câu 1:

Câu 2:

Bài 8: Thực hiện tính giá trị biểu thức: 88 – 24 : 0,3 – ( 4,08 + 20,4 : 5 ) : 1,02
(Đề PGD Quảng Trạch, Quảng Bình năm học 2001 - 2002)
Hướng dẫn giải
Thực hiện tính giá trị biểu thức:
88 – 24 : 0,3 – ( 4,08 + 20,4 : 5 ) : 1,02
= 88 – 80 – ( 4,08 + 4,08 ) : 1,02
= 8 – 8,16 : 1,02
= 8 – 8 = 0
Bài 9: Với 4 chữ số 2 và các phép tính hãy lập các dãy tính có kết quả lần lượt là: 0; 1; 2; 3; 4; 5; 6; 8; 9; 10
(Đề SGD Quảng Bình năm học 2001 - 2002)
Hướng dẫn giải
Ta có: (2 + 2) – (2+ 2) = 0
(2 + 2) : (2+ 2) = 1
(2 : 2) + ( 2 : 2 ) = 2
(2 x 2) – ( 2 : 2) = 3
2 x 2 x 2 : 2 = 4
(2 x 2) + (2 : 2) = 5
2 x 2 x 2 - 2 = 6
(2 x 2 ) + (2 x 2) = 8
22 : 2 – 2 = 9
2 x 2 x 2 + 2 = 10
Bài 10:
a) Tính giá trị biểu thức (120 x 4 – 25 x 4) : (36 : 18). Sau đó, xem xét giá trị đó chia hết cho những số nào trong các số sau đây: 2; 3; 5.
b) Tính nhanh: 
(Đề PGD Quảng Trạch, Quảng Bình năm học 2002 - 2003)
Hướng dẫn giải
a)
( 120 x 4 – 25 x 4 ) : (36 : 18)
= 4 x ( 120 - 25) : 2
= 4 x 95 : 2 = 380 : 2 = 190
190 chia hết cho 2 và 5 không chia hết cho 3
b)

Vừa rồi là tổng hợp các bài tập tính giá trị biểu thức lớp 5 có đáp án chi tiết. Mong rằng những chia sẻ trên sẽ hữu ích đến các em học sinh đang ôn tập dạng bài toán này và ôn luyện thi vào lớp 6.
[%Included.Hoctotlop5%]
[%Included.TAK12%]